b门怎么设置 d700,这个问题我们之前已经讨论过了,大家可以参考一下。今天我们主要说一下d700的具体设置方法。首先我们要明确一点,d700是一个可以自自定义的系统,所以我们可以根据自己的喜好进行一些调整。下面我们就来看看d700的具体设置方法。首先我们需要打开d700的设置界面,然后进行设置。在这里我们可以看到d700的默认配置,其中包括了电源适配器、显示器、鼠标、键盘、音量、麦克风、摄像头、网络连接等等。
一、d700怎么使用b门?
曝光模式选到手动档M,即按下MODE按钮,直到取景器和控制面板中显示M,这样就进入手动曝光模式了。
这时再旋转主指令拨盘(右手拇指上方)快门时间就开始变化,让快门时间增加,直到快门值变成buLb,就进入B门拍摄状态了。
二、如何设定三菱变频器D700线速度?
优质答案1:
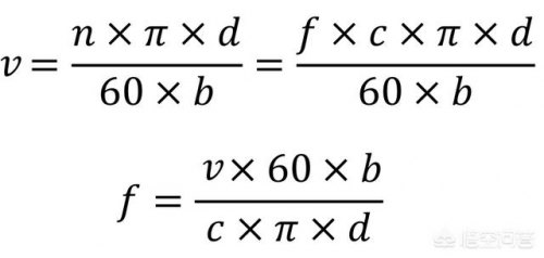
如何设定三菱变频器D700线速度,我们知道变频器输出的是不同频率的电源,如30Hz、50Hz等三相电,由电机调速原理可知电源的频率与电机转速是正比的关系,比如电机在工频下的额定转速的1420r/min,那么对应的一频率就是28.4转。但是线速度和我们的频率不是正比关系,我们不能直接通过控制频率的大小来设定变频器的线速度,线速度等于转速乘以直径计算转换,这中间还需要考虑减速机的减速比、皮带轮比(电机轮与负载轮比例),工件的直径,线速度的单位等内容。

变频器驱动电机通过减速机带动工件旋转进行加工,现在想要设定工件的线速度v(mm/s),以上图的例子来说明换算变频器频率与线速度,电机额定转速为nr/min,减速机的减速比为b,工件的直径为d。其中c为额定转速与工频的比值,这样我们就得到了变频器频率f和线速度v之间的计算公式。比如现在要求工件以恒线速度v1的数值运行,那么我们就要根据工件的直径大小来决定频率的输出值了,可以看出在恒线速度下,频率与直径呈反比的关系。

三菱变频器D700本身是没有线速度这一输出定义的,我们可以通过电机的工件的参数间接得出变频器频率和线速度之间的数值计算,控制频率输出从容控制线速度,希望能帮到你!
优质答案2:
首先设置好变频器运行模式、频率模式参数。
调整变频器的输出频率就可以实现调速了。
调速的常用方法有两种:
一种是通过控制面板上的up/down按键,
另一种是通过电位器,可以是控制面板上的电位器,可以是外接在控制端子上的电位器。具体的调速方式需要看变频器的参数设置。
三、相机或手机拍车流光轨,怎样设置参数?
优质答案1:
单反拍车流光轨设置:拍摄模式用手动或快门优先;手动对焦,最好能应用超焦距对焦;测光模式不要用点测光,其它都可以;快门设置一般几秒或十几秒均可,这个看车流的速度;ISO100,以保证画质。
优质答案2:

拍摄车流光轨,是许多摄影师喜欢玩的。这其中有一定的技巧,不学一学还真不好把握。下面我介绍一下基本设置:
首先,我们确定拍摄模式。拍摄车流光轨,必须要在晚上,属于特殊环境下拍摄,模式应该设为手动,尼康、佳能相机拨盘上都为M档。用手动挡,我们可以根据环境的需要设置自己想要的参数。
其次,我们调整一些参数。ISO手动设置,设置为100即可。有些人喜欢将ISO设为自动,晚上环境不好,设自动的话会相机会将ISO打得很高,拍出来画质不好。光圈设置在F8以上吧,不要设得太大(数字不要太小)。因为我们要长时间曝光,我们要用小光圈控制进光量,以免曝光过度。快门速度可以设置为8S以上,十几秒、二十秒都可以的,现场摸索着定。快门时间不能太短,不然光轨拍出来不流畅。
再次,我们需要用快门线和三脚架。拍摄光轨需要稳定画面,必须用上三脚架。另外,长时间曝光,轻微抖动都有可能造成画面模糊,配上一根快门线很有必要。或者,用蓝牙遥控也可以。总之,三脚架和快门线都是为了不让相机在拍摄时不抖动,如果你有其他办法也可以。
本文出自 喜人号 ,原文链接:https://www.sxir.cn/9687.html 。如若转载请注明出处。
机械相机怎么上胶卷?相机胶卷怎么用
2023-01-29
机械相机怎么上胶卷?这个问题其实很简单,因为胶卷的质量不同,所以上胶卷的方式也不同。一般来说,机械相机都是通过机械手来上胶卷的,而电子相机则则是用到了数码相机的技术。不过,这两种相机的上胶原理是不一样的,数码相机的上胶原理是利用胶卷上的感光材料,通过曝光的方式将照片上息转化为电信号,然后传输到计算机中进行处理。而胶卷上的胶原蛋白则是直接将 …
什么相机包适合尼康d5?尼康相机包怎么放相机
2023-01-29
什么相机包适合尼康d5##0?这款相机包到底有什么特别之处?下面就一起来看看吧。首先我们先来看看尼康d50的外观设计,整体采用黑色为主色调,机身正面是一块6.0英寸的屏幕,分辨率为1920×1080,支持120hz刷新率,显示效果非常细腻。背面则是一块1.4英寸的单色液晶屏,分辨率为720p,支持持100%srgb色域,显示效果清晰细腻。机身厚度为7.8mm,重量为186g,握持手感舒适 …
记拍器怎么使用说明?
2023-01-29
记拍器怎么使用说明书,这些都是必须要知道的。下面我们就来看看拍照时如何使用手机自拍吧。首先我们要准备一个相机,然后将手机放在相机的前面,接着着我们就可以开始拍照了。在拍照时,我们需要将手机举起来,然后用手机的镜头对着自己的脸部进行拍摄。这样拍出来的照片就非常好看了了,而且还能够让我们的五官看起来更加立体。 一、手机记牌器怎么用? 手机记牌器 …
腾龙10 24镜头怎么样-腾龙18-200a14镜头怎么样
2023-01-29
腾龙10 24镜头怎么样?1、荣耀畅玩7x采用5.93英寸全面屏,分辨率为2160x1080,屏占比高达90.3%,搭载麒麟659处理器,内置4gb内存+64gb存储,前置置1600万像素摄像头,后置1600万+200万像素双摄,电池容量为3340mah。2、荣耀畅玩7x的机身厚度为7.5mm,重量为175g,支持双卡双待全网通通。3、荣耀畅玩7x采用5.93英寸全面屏,分辨率为2160×1080,搭载麒麟659处理器,内置 …
佳能eos6d怎么把照片?佳能eos6d怎么导出照片
2023-01-29
佳能eos6d怎么把照片整理好?下面我们一起来看看吧。首先我们需要准备一个u盘,然后将u盘插入电脑中,打开文件管理器,选择相册,选择拍照模式,选择择最近的照片,然后点击保存即可。这样就可以了。接下来我们来看看效果如何。首先我们可以看到,这个相册中的照片非常漂亮,色彩鲜艳,看起来非常舒服。而且,这个相册的背景也是非常好看的,有一种大自然的感觉。一: …
球形云台如何调正-球形云台怎么调平
2023-01-29
球形云台如何调正的?这个问题其实很简单,只要把云台调正就可以了。具体操作步骤如下:首先我们需要准备一个三脚架,然后把手机固定在三脚架上,接接着再把云台放在手机上,最后把手机固定在云台上。这样一来,我们就可以通过手机来控制云台的运动了。当然,如果你不喜欢这样的操作方方式,也可以直接用手机遥控云台,只不过需要下载一个app,然后在app里面设置好, …
6d摄像用什么镜头好?佳能6d一般配什么镜头
2023-01-29
6d摄像用什么镜头好?5d摄像机是目前市场上最受欢迎的一种摄像机,它不仅可以拍摄高清晰的画面,还可以进行多角度拍摄,因此深受广大消费者的喜爱。下面面为大家介绍一下5d摄像机的优缺点。一、5d摄像机的优点:1、画面清晰度高,不会出现模糊现象。2、拍摄范围广,可以拍摄大场面。33、不受光线影响,不会出现阴影。4、无死角,不会出现畸变。5、可以实现360度旋转, …
卡西欧tr600真假怎么认
2023-01-29
卡西欧tr600真假怎么认定?这个问题困扰了很多人,今天我们就来解答一下。首先我们要知道什么是真假,其次才能分辨真假。下面我们一起来看看吧。tr600真真的比普通的好吗?这3点告诉你答案。tr600是一种电子产品,它的外观和普通的不一样,所以很多人都不知道它是真的还是假的。那么我们来看看tr600到底是什么样子的吧。首先我们来看看它的外观,它的外观看起来非常的 …
什么叫长焦相机?什么叫长焦球拍
2023-01-29
什么叫长焦相机?长焦相机就是能够拍摄远距离的物体,比如我们平时看到的一些建筑物,还有一些山脉等等,这些都是可以通过长焦镜头拍摄的。那么长焦相机有什么优势呢?首先就是它的视角非常广,不管是远处的风景还是近处的景色,都能够轻松捕捉到。其次就是它的画质非常清晰,在夜景的的时候拍摄效果非常好。最后就是它的续航能力,这款手机支持18w快充,充满电只需要 …
王者单反什么时候出-王者暃什么时候出
2023-01-29
王者单反什么时候出啊?”这个问题一直萦绕在我的脑海里,直到今天才有机会问出口。我想,王者荣耀应该是最近几年最火的手游了,不管男女老少都喜欢玩玩。王者荣耀的英雄数量有100多个,每个英雄都有自己的特点,有的擅长远程消耗,有的擅长近战爆发,还有的擅长控制。但是有一个英雄,却是所有英雄中最难操作的,那就是钟馗。很多玩家觉得钟馗的钩子非常恶心,可以直 …
雨天怎么在室外拍照相机保护
2023-01-29
雨天怎么在室外拍照相机保护眼睛?下面这些方法可以帮助你。首先,你需要一个合适的镜头,这样你就可以在雨天拍照了。如果你不知道如何选择,那么你可以使用手自带的相机来拍摄。这样,你就可以轻松获得好照片。然后,你需要准备一个小镜头,因为雨天光线不好,所以你需要一个大光圈来拍摄。最最好不要使用闪光灯,因为闪光灯会破坏你的画面。如果你想拍摄更多的细节 …
佳能定焦50mm如何使用?佳能50mm定焦镜头1.2
2023-01-29
佳能定焦50mm如何使用?1、如果是单反相机,可以直接用手机拍摄,也可以使用专业的单反相机。如果是微单相机,可以使用手机拍摄,也可以使用专业的单反相机。3、如果是使用单反相机,可以在拍摄前先将镜头调整到最佳焦距,然后再进行拍摄。这样不仅可以避免出现画面畸变,而且可以保证画面面的清晰度。4、在拍摄时,尽量不要使用闪光灯,因为闪光灯会产生大量的热量, …
拍婚纱照前穿什么?拍婚纱照前穿什么鞋子去
2023-01-29
拍婚纱照前穿什么好看?今天就给大家推荐几款适合结婚穿的婚纱照拍摄道具,快来看看吧!一起来看看吧!首先第一款就是我们经常见到的手机壳了,不管男生还是女生都喜欢这样的手机壳,因为看起来非常的可爱,而且还有一种少女心的感觉。如果你的男朋友或者老公是一个比较爱玩的人,那那么给他买一个这样的手机壳,肯定会让他觉得你是一个非常有趣的人。而且这样的手机 …
nikond810如何移动焦点-如何移动对焦点
2023-01-29
nikond810如何移动焦点。这款产品采用一个简单的触摸屏,可以轻松实现各种功能。它的设计灵感来自日本传统的手工艺品,例如纸扇、折纸等。它的外观非常精致致,有一种复古的感觉。这款产品还配备了一个小巧的电池,可以连续使用几个小时。如果你想在旅行中携带它,你可以将它放在行李箱里。它它可以轻松地装入背包,也可以放在手提包里。这款产品非常适合出差的朋友使 …
手机照片如何去除反光?照片镜片反光怎么去除
2023-01-29
手机照片如何去除反光、增加画面亮度。下面教大家几个小技巧,轻松解决手机照片模糊的问题。赶紧学起来吧!一起来看看吧!首先准备一个透明的塑料袋,然然后用剪刀剪开塑料袋,把里面的东西取出来。接着在塑料袋里倒入适量的洗洁精,再把手机放进去浸泡5分钟左右。最后用清水冲洗干净就可以了。第二种方法是用牙膏,我们可以把牙膏挤在一个干净的布上,然后用它来擦拭 …
热门推荐




